Настоящая статья изложена в соответствии с основными положениями Рекомендаций по проектированию зданий и сооружений в карстовых районах.
Прежде, чем приступить к расчету ленточного фундамента над карстовым провалом, следует познакомиться с карстовыми явлениями, информация о которых приведена в спойлере ниже, который можно раскрыть.
Карстовые районы относятся к территориям с особыми условиями строительства (см.раздел 2 ). При проектировании строительства в этих районах следует пользоваться действующими нормативными документами с учетом настоящих рекомендаций.
К карстовым районам относятся территории, в геологическом разрезе которых присутствуют растворимые горные породы (известняки, доломиты, мел, гипсы, ангидриты, каменная соль и т. п.), и имеют место или возможны поверхностные и подземные проявления карста.
Отнесение районов строительства к карстовым или некарстовым производится на основании геологических материалов или по данным предварительного обследования. При этом руководствуются также обзорными картами распространения закарстованных пород и карстовых явлений.
Провалы, вследствие внезапности их возникновения, представляют главную опасность для зданий и сооружений в карстовых районах. Они образуются в результате наличия на глубине карстовых полостей и расширенных трещин.
Подготовка провалов происходит на глубине длительное время, на поверхности же провальный процесс протекает очень быстро. При этом обычно сначала на поверхности внезапно появляются трещины, по которым происходит обрушение грунта, и образуется воронка или колодец небольшого диаметра. Затем стенки воронки (колодца) обваливаются и оползают, и размеры ее увеличиваются. В песчаных и глинистых грунтах продолжительность формирования провальной воронки ориентировочно составляет: при малом ее диаметре (до 10 м) - не более нескольких минут, при среднем диаметре (около 20-30 м) - порядка 15-30 мин, при большом диаметре (50 м и более) - 1-3 часа и более.
Образованию провала иногда предшествуют: оседание поверхности земли и возникновение трещин, шум и треск, скачки уровня подземных вод в наблюдательных скважинах и т.п.
Провалы могут возникать поодиночке и группами. Наблюдаются случаи повторных провалов на месте ранее образовавшихся воронок.
Размеры провалов зависят от местных геологических и гидрогеологических условий. Их диаметры в одних районах не превышают 5-10 м, в других - достигают 50 и даже 100-300 м. Глубина преимущественно от долей метра до нескольких метров, иногда достигает нескольких десятков метров. Для провальных воронок в сухих рыхлых и слабосвязанных грунтах характерно отношение глубины к диаметру от 1:3 до 1:2. В обводненных рыхлых грунтах (при прочих равных условиях) это отношение уменьшается, а в прочных породах - увеличивается. Небольшие провалы в большинстве районов случаются значительно чаще, чем крупные.
В карстовых районах по степени устойчивости относительно карстовых провалов выделяются следующие категории территорий:
I) Среднегодовое количество провалов очень велико - больше 1 случая/км²/год. Территории очень неустойчивые.
II) Среднегодовое количество провалов велико - от 0,1 до 1 случая/км²/год. Территории неустойчивые.
III) Среднегодовое количество провалов значительно - от 0,05 до 0,1 случая/км²/год. Территории недостаточно устойчивые.
IV) Среднегодовое количество провалов мало - от 0,01 до 0,05 случая/км²/год. Территории с несколько пониженной устойчивостью.
V) Среднегодовое количество провалов очень мало - меньше 0,01 случая/км²/год. Территории относительно устойчивые.
VI) Образование провалов исключается. Территории устойчивые.
Кроме возможности провалов и оседаний земной поверхности, в карстовых районах принимается во внимание наличие поверхностных и погребенных карстовых форм (воронок, впадин и т. п.), которые нередко заполнены отложениями с пониженной несущей способностью, в том числе торфом и слабыми насыпными грунтами.
Гидрологические и гидрогеологические условия в карстовых районах характеризуются существенными особенностями (крайне неоднородная и нередко весьма высокая водопроницаемость карстующихся пород, особенности распределения поверхностного и подземного стока, уровенного режима и т. д.), которые следует иметь в виду при проектирований различных водоемов, систем водоснабжения и канализации, дренажей, водоотлива из котлованов и решении других задач, в том числе при разработке мероприятий по борьбе с карстом.
Типы карста, выделяемые по литологическому признаку, особенно сильно различаются по условиям строительства. Основные из них (наиболее часто встречающиеся в практике строительства) следующие:
а) карбонатный (с подтипами: известняковый, доломитовый и в обломочных породах с карбонатным цементом);
Каорбонатный карст распространен наиболее широко, но развивается знг стельно медленнее гипсового и соляного. Растворимость пород мала, характерно большое влияние на растворимость свободной углекислоты. В естественных условиях растворение пород происходит медленно, и возможность образования и роста карстовых полостей за период эксплуатации зданий и сооружений практически может не учитываться. Провалы происходят нечасто. Их среднегодовое количество в естественных условиях, как правило, не превышает 0,1 случая на 1 км². Однако возможность провалов необходимо учитывать. Строительство в районах карбонатного карста при правильном выборе площадей для застройки и соблюдении необходимых требований и мероприятий возможно без существенных осложнений.
б) меловой (являющийся подтипом карбонатного, но ввиду специфических особенностей рассматриваемый отдельно);
Меловой карст является разновидностью карбонатного, но отличается особенностями, связанными со свойствами мела и мелоподобных пород. Распространен достаточно широко в Европейской части. В основном развивается медленно. Растворимость мела, как и других карбонатных пород, мала. Пористость высокая - достигает 50% и более. Характерна
легкая размываемость, значительное понижение несущей способности при увлажнений и возможность перехода обводненного мела в разжиженное состояние при динамическом воздействии. Трещиноватость и водопроницаемость мела различны и неравномерны. На участках сильной трещиноватости и закарстованности коэффициент фильтрации достигает десятков метров в сутки и даже более. Провалы обычно редки и невелики по размерам. Поэтому больших
затруднений для промышленного и гражданского строительства меловой карст обычно не создает (за исключением отдельных районов, в которых возможны частые провалы значительных размеров), если правильно учитываются его особенности. Однако известны значительные затруднения при строительстве прудов и водоемов, связанные с большими фильтрационными потерями воды, усугубляющимися суффозионным выносом материала и образованием карстово-суффозионных провалов на дне водоемов.
в) гипсовый (часто встречающийся в сочетании с карбонатным);
Гипсовый карст часто встречается в сочетании с карбонатным. Распространен достаточно широко. Развивается намного
быстрее, чем карбонатный. Растворимость пород значительна. Растворение пород и рост карстовых полостей за период эксплуатации зданий и сооружений даже в естественных условиях может быть заметным. В районах гипсового карста провалы - обычное явление. Нередки сильно закарстованные участки, на которых среднегодовое кодио
чество провалов составляет от 0,1 до 1,0 случая на 1 км². Встречаются также участки со среднегодовым количеством провалов больше 1 случая на 1 км². Ввиду опасности провалов строительство в районах гипсового
карста может быть связано с значительными затратами на изыскания и защитные мероприятия. К выбору площадей для застройки нужно подходить очень осторожно. В частности, следует учитывать, что отсутствие полостей и монолитность гипсов и ангидритов в какой-либо скважине или группе скважин еще не говорит об отсутствии полостей
в непосредственной близости. В результате тщательных изысканий могут быть выделены площади пригодные, ограниченно пригодные и непригодные для строительства.
г) соляной (преимущественно встречающийся в сочетании с гипсовым, а иногда и с карбонатным).
Соляной карст преимущественно встречается в сочетании с гипсовым, а иногда и с карбонатным. При строительстве с ним приходится сталкиваться лишь в районах соляных месторождений. Ввиду очень высокой растворимости каменной соли соляной карст в благоприятных гидрогеологических условиях развивается чрезвычайно быстро. Активный соляной карст очень опасен; растворение пород идет чрезвычайно быстро, часто образуются провалы, иногда очень
крупные, и происходят постепенные оседания значительных площадей земной поверхности (мульды оседания), вызывающие массовые деформации и разрушения зданий и сооружений. Строительство рекомендуется выносить за пределы опасных участков, при этом следует учитывать перспективы разработки соляных месторождений и возможность
связанной с этим активизаций карста.
По особенностям залегания карстующихся пород выделяются следующие типы карста:
А. По отношению к земной поверхности.
1) Открытый карст:
- карстующиеся породы лежат непосредственно на поверхности.
2) Покрытый карст:
- карстующиеся породы перекрываются слоями нерастворимых водонепроницаемых пород.
- карстующиеся породы перекрываются слоями нерастворимых, водопроницаемых пород
Б. По отношению к уровню подземных вод.
1) Карстующиеся породы залегают в зоне аэрации.
2) Карстующиеся породы залегают в зоне постоянного водонасыщения.
3) Карстующиеся породы залегают в зонах аэрации и постоянного водонасыщения.
Степень пригодности участка в пределах зоны определенного целевого назначения рекомендуется определять отдельно для селитебной, промышленной и транспортной зон в зависимости от закарстованности территории. Территорий, непригодные для строительства, рекомендуется использовать для зеленых насаждений. При эксплуатации подземных сетей необходимо полностью устранить возможные утечки из водопроводной, канализационной, теплофикационной и других сетей.
Для определения пригодности под застройку территорий в районах распространения карста в зависимости от среднегодового количества провалов на 1 км² территории рекомендуется пользоваться таблицей 1.
Табл. 1 - Рекомендуемый характер жилищно-гражданского строительства на закарстованных территориях в зависимости от среднегодового количества провалов

На всех застраиваемых карстоопасных территориях в целях предотвращения процесса активизации и стимулирования затухания карста рекомендуется предусматривать организованный отвод ливневых и сточных вод при производстве инженерной подготовки территории.
На территориях распространения соляного карста при проектировании и строительстве зданий следует иметь в виду, что здесь кроме образования провалов, как правило, наблюдается значительное дифференцированное оседание земной поверхности с формированием мульд оседания под влиянием карстовых процессов, а также в результате процесса разработки соли.
Расчет, проектирование и строительство зданий на территориях распространения соляного карста рекомендуется производить с соблюдением всех требований и рекомендаций Руководства по проектированию зданий и сооружений на подрабатываемых территориях (часть 1, часть 2, часть 3) с использованием исходных данных, полученных в результате инженерно-геологических изысканий (прогнозируемых параметров деформации земной поверхности).
При выборе конструктивных и архитектурно-планировочных решений зданий следует стремиться к равномерному и симметричному расположению стен в плане здания.
Рекомендуется размещать продольные и поперечные стены симметрично относительно центральных продольных и поперечных осей здания, не допускать изломов стен в плане, внутренние стены делать сквозными на всю ширину или длину здания, простенки и проемы по возможности принимать одинаковой ширины и длины, распределяя их равномерно по длине и высоте здания. Подвалы или технические подполья рекомендуется располагать под всем зданием.
Проектирование уникальных общественных зданий и сооружений, рассчитанных на значительный срок службы, рекомендуется осуществлять согласно таблице 2, приравнивая их к особо ответственным промышленным зданиям и сооружениям.
Табл. 2 - Рекоыендуемый характер промышленной застройки закарстованных территорий в зависимости от среднегодового количества провалов

Некоторые из возможных сочетаний различных противокарстовых мероприятий и условия их применения приведены в таблице 3.
Табл. 3 - Возможные сочетания различных противокарстовых мероприятий и условия их применения

Противокарстовые инженерные мероприятия в каждом конкретном случае должны иметь технико-экономические обоснования, разрабатываемые не только из условий снижения стоимости строительства, но также из условий рентабельности предприятия или группы технологически взаимосвязанных предприятий. К инженерной подготовке территорий промышленного строительства в карстовых районах должны предъявляться повышенные требования. Планировочные работы и устройство ливневой канализации рекомендуется выполнять не только на участке застройки, но и на смежных территориях, являющихся площадью водосбора атмосферных вод. Утечки агрессивных промышленных стоков в грунт не допускаются.
Рекомендуется тампонировать водоупорными материалами все водопоглощающие воронки и трещины, выходящие на дневную поверхность, которые могут оказывать влияние на развитие карстовых процессов на участке строительства.
Конструктивные мероприятия применяются с целью обеспечения прочности, устойчивости и эксплуатационной пригодности зданий и сооружений в случае появления карстовых провалов.
Конструкция здания или сооружения, как правило, должна оставаться геометрически неизменяемой даже при появлении карстового провала под любой из основных несущих опор.
Податливые конструктивные схемы промышленных зданий могут иметь ограниченное применение при проектировании в карстовых районах, в которых не предвидится образование карстовых провалов большой глубины.
К конструктивным мероприятиям относятся:
а) применение специальных типов фундаментов, в том числе:
свайные фундаменты,
новые виды опор глубокого заложения,
ленточные фундаменты и сплошные плиты,
фундаменты с подпругами;
б) усиление конструкций зданий, в том числе:
устройство дополнительных связей в каркасе здания,
применение поэтажных железобетонных поясов,
анкеровка элементов покрытий, перекрытий и ограждающих конструкций;
в) улучшение условий работы конструкций зданий за счет:
применения нового вида опорных частей строительных конструкций,
повышения устойчивости на опрокидывание несущих элементов покрытия,
уменьшения веса строительных конструкций здания и т.д.
г) применение новых типов промышленных зданий.
Применение свай-стоек наиболее эффективно преимущественно в районах о ярко выраженными карстово-суффозионными провалами, когда толщу несвязных грунтов, подверженных суффозии, на небольшой глубине подстилают прочные некарстующиеся породы или когда в закарстованном массиве, прорезаемом сваями, не может происходить обрушений больших масс скальных пород, способных разрушить сваи.
При залегании прочных скальных пород на большой глубине и при отсутствии в промздании больших сосредоточенных нагрузок (ориентировочно не более 100-150 т на одну колонну) могут применяться висячие сваи. При образовании карстового провала отдельные сваи или свайные кусты, попавшие в зону провала, будут исключаться из системы, что потребует устройства ростверка, достаточно жесткого для восприятия дополнительных нагрузок и способного работать с увеличенным пролетом.
В тех случаях, когда прочные скальные породы залегают на большой глубине (20-60 м и более), и в здании имеются большие сосредоточенные нагрузки (ориентировочно свыше 400 т на одну колонну), может быть рекомендовано применение буровых опор глубокого заложения.
В районах с карстовыми провалами любого типа при максимальном расчетном диаметре провалов до 20 м и сосредоточенных нагрузках от зданий ориентировочно до 400 т на одну колонну рекомендуются к применению ленточные фундаменты и сплошные плиты. Метод расчета ленточных фундаментов приводится далее в настоящей статье.
При сосредоточенных нагрузках от зданий ориентировочно до 200 т на одну колонну и при отсутствии агрессивных воздействий в основании, в отдельных случаях могут быть применены фундаменты с подпругами-вантами. В этом случае отдельные фундаменты под колоннами связываются между собой системой перекрестных металлических вант, как показано на рис. 1.

Таким образом, каждый фундамент имеет металлическую подпругу, включающуюся в работу после возникновения карстового провала непосредственно под фундаментом. Каждая подпруга рассчитывается как гибкая нить, нагруженная посредине сосредоточенной силой, равной нагрузке от колонны и весу фундамент.
Для промышленных зданий с небольшими сосредоточенными нагрузками на колонны (до 100-150 т) может быть рекомендована постановка дополнительных связей между колоннами каркаса, превращающих каркас промздания в конструкцию, состоящую из плоских ферм, как показано на рис. 2.

При образовании карстового провала под одним фундаментом или группой фундаментов последние цепестают воспринимать нагрузки от колонн, и в работу включаются связи.
С целью улучшения условий работы строительных конструкций зданий рекомендуется применять новые виды опорных частей, изготавливаемых из новых синтетических материалов, а также из естественного каучука. На рис. 3 и 4 показаны такие опорные части, примененные для шарнирно-неподвижных (шаровых) опор. Новые виды опорных частей имеют ряд преимуществ по сравнению с известными металлическими: дешевизна, простота в монтаже, малая строительная высота, возможность линейных перемещений в различных направлениях в плоскости опоры и небольших угловых перемещений без появления значительных реактивных усилий, смягчение динамического влияния подвижных нагрузок на конструкции и т.п.


Повышение надежности конструкций покрытий промышленных зданий может быть достигнуто увеличения устойчивости на опрокидывание основных несущих элементов покрытия (стропильных и подстропильных балок или ферм), для чего может быть рекомендован способ опирания указанных элементов в уровне верхнего пояса, как показано на рис. 5.

Ленточные фундаменты могут быть рекомендованы к применению для строительства в карстовых районах и обладают следующими особенностями:
1. Являясь монолитной неразрезной конструкцией, ленточный фундамент может успешно работать на изгиб без появления больших прогибов в случае возникновения провальной воронки на каком-либо участке по оси фундамента. Колонны каркаса, опирающиеся на неразрезной ленточный фундамент, получат незначительные линейные и угловые перемещения и будут нормально функционировать даже после образования карстовых провалов. По предварительным данным, ленточные фундаменты могут применяться при нагрузках на одну колонну до 200 тонн, при диаметре провала 20 м. При меньших диаметрах провалов нагрузки от колонны могут быть увеличены.
2. Конструкция фундамента проста и не требует при возведении сложного специального оборудования. Это обстоятельство может оказаться решающим при выборе типа противокарстовой конструкции.
3. Ленточный фундамент позволяет сравнительно простыми средствами проводить постоянные наблюдения за характером работы системы и за состоянием материала конструкции в условиях воздействия возможной агрессивной среды с целью получения достоверных данных, необходимых для оценки надежности конструкции в пределах срока эксплуатации здания.
4. Конструкция фундамента поддается расчету в условиях образования одной или нескольких провальных воронок по его оси и может быть сравнительно просто и экономично запроектирована.
5. Устройство ленточных фундаментов позволяет применить типовые строительные конструкции каркаса здания без каких-либо дополнительных противокарстовых мероприятий.
6. В случае осуществления мер по максимальному уменьшениювеса строительных конструкций промзданий (путем замены тяжелых бетонов легкими, выполнения большепролетных и высоких конструкций в металле, замены обычно применяемых мостовых кранов козловыми, башенными, гусеничными, или иными средствами напольного транспорта и т.д.) ленточные фундаменты могут успешно конкурировать с другими конструкциями.
Проектирование ленточных фундаментов может производиться в следующем порядке:
1. Выполняется расчет фундамента как балки на сплошном упругом основании, работающей в обычных условиях, т.е. без появления карстовых провалов; при этом находятся в первом приближении жесткость балки, ширина подошвы фундамента, интенсивность реактивного давления грунта, прогибы, расчетные усилия. Расчет балки на упругом основании может быть проведен вручную, используя соответствующие методики, или в программном комплексе. Результаты этого расчета - в частности, изгибающие моменты в сечении фундамента и прогиб его оси, - потребуются далее.
2. Задавшись расчетным диаметром провальной воронки под фундаментом, вычисляем приближенно величины расчетных усилий в балке, дополнительные осадки (прогибы) балки и другие параметры, описанные в пунктах ниже. Рассчитываемый ленточный фундамент (балка) приведена на рис. 6 с действующими нагрузками и размерами.

3. Задаемся величинами жесткости фундамента EI в вертикальной плоскости, коэффициентом постели основания k0, шириной подошвы фундамента b. Прочие размеры приведены на рис. 6.
4. Вычисляем длину участка a отпора грунта по формуле:

5. Вычисляем длину изогнутого участка ленточного фундамента по формуле:

6. Вычисляем коэффициент ε по формуле:

7. Вычисляем коэффициенты:


8. Вычисляем изгибающий момент в сечении фундамента в т. А или Е (см. рис. 6), принимая значение M0A равным изгибающему моменту в рассматриваемом сечении фундамента, найденному ранее при расчете фундамента как на сплошном упругом основании (без учета карстового провала), по формуле:

9. Вычисляем изгибающий момент в любом сечении участка АВ (см. рис. 6) на расстоянии x1 от начала координат, где 0 < x1 < a, принимая значение M0x1 равным изгибающему моменту в рассматриваемом сечении фундамента, найденному ранее при расчете фундамента как на сплошном упругом основании (без учета карстового провала), по формуле:

10. Вычисляем изгибающий момент в любом сечении участка BC (см. рис. 6) на расстоянии x2 от начала координат, где a < x2 < a + l/2, принимая значение M0x2 равным изгибающему моменту в рассматриваемом сечении фундамента, найденному ранее при расчете фундамента как на сплошном упругом основании (без учета карстового провала), по формуле:

11. Вычисляем коэффициенты:


12. Вычисляем изгибающий момент посередине пролета в т. С (см. рис. 6), принимая значение M0С равным изгибающему моменту в рассматриваемом сечении фундамента, найденному ранее при расчете фундамента как на сплошном упругом основании (без учета карстового провала), по формуле:

13. Вычисляем прогиб фундамента в любом сечении участка АВ (см. рис. 6) на расстоянии x1 от начала координат, где 0 < x1 < a, принимая значение y01 равным прогибу в рассматриваемом сечении фундамента, найденному ранее при расчете фундамента как на сплошном упругом основании (без учета карстового провала), по формуле:

14. Вычисляем прогиб фундамента в т. В (см. рис. 6), т.е. на расстоянии x1 = a от начала координат, где y0B принимаем равным прогибу в рассматриваемом сечении фундамента, найденному ранее при расчете фундамента как на сплошном упругом основании (без учета карстового провала), по формуле:

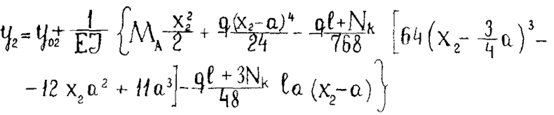
15. Вычисляем прогиб фундамента в любом сечении участка ВС (см. рис. 6) на расстоянии x2 от начала координат, где 0 < x2 < a + l/2, принимая значение y02 равным прогибу в рассматриваемом сечении фундамента, найденному ранее при расчете фундамента как на сплошном упругом основании (без учета карстового провала), по формуле:

16. Вычисляем коэффициенты:


17. Вычисляем прогиб фундамента посередине пролета в т. C (см. рис. 6), где y0С принимаем равным прогибу в рассматриваемом сечении фундамента, найденному ранее при расчете фундамента как на сплошном упругом основании (без учета карстового провала), по формуле:

Закрыть